
Q Tbn And9gcrl7xo9wewxe Elg6acjqdk5eamnxnslc09rw Usqp Cau

La Plus Grande Peine D Amour Que Peut Vivre Un Macho C Est De Decouvrir Une Egratignure Sur Son Auto Neuve

Adriano Pedrosa On Scott Lyall Artforum International
Citation Macho のギャラリー

Le Macho N Est Pas Seulement Celui Qui Prefere Les Activites Typiquement Masculines Meme Si Ca Y Participe C Est

X6erqumk7dxc M

Fairytales Quotes Quote Quotation Quoteoftheday Quotestags Quotestagram Lifequotes Words Saying Word Instalike Like4like Qotd Lifecoach Lifeup Positive Motivation Inspiration Lifequote Instaquote Instaquotes Qotd Fairytale

Epingle Sur Mdr

Blog Haras Vista Verdelote 7 Citation Verde Blog Haras Vista Verde

1466 N Jpg 7 960 Pixels Citation Citation Humour Phrase Citation

Amazon Com Knock Knock Nifty Notes Douchebag Citation Pad Pack Of 3 Office Desk Pads And Blotters Office Products

More On Integrating Sources Mla Style Some Review Whether Quoting Summarizing Or Paraphrasing The Best Way To Start Is With A Signal Phrase Let The Ppt Download

06 Des Citations Macho

A Propos Du Titre Je Le Chipe A Ce Macho De Dali Qui Helena Marienske

Des Citations Macho Humour Soledadalone Photos Club Doctissimo

Epingle Sur Citation
2

Diaporamas A La Con Diaporama Pps De Citations Et Pensees Humoristiques

Citation Humour Coque Elastique Iphone Spreadshirt

Top 25 Quotes By Randy Savage A Z Quotes
Apa Citations And Other Fun Stuff That Is Pertinent To Your Speeches Ppt Download

The Ancestry Insider Citation Principles What Is A Derivative

06 Des Citations Macho

Number Of Interdisciplinary Pairs Per Discipline Mean Distance And Download Table
Police Culture S Some Definitional Methodological And Analytical Considerations Emerald Insight

Pdf The Macho Man Untold Experiences

Douchebag Citation Nifty Note Abebooks Knock Knock

Le Macho C Est Quelqu Un Qui Cherche Une Citation De Jacques Dutronc
Http Www Etsjets Org Files Jets Pdfs 24 24 1 24 1 Pp0 090 Jets Pdf

Citations D Hommes Celebres
Http Scholarcommons Usf Edu Gsp Submission Style Guidelines Pdf
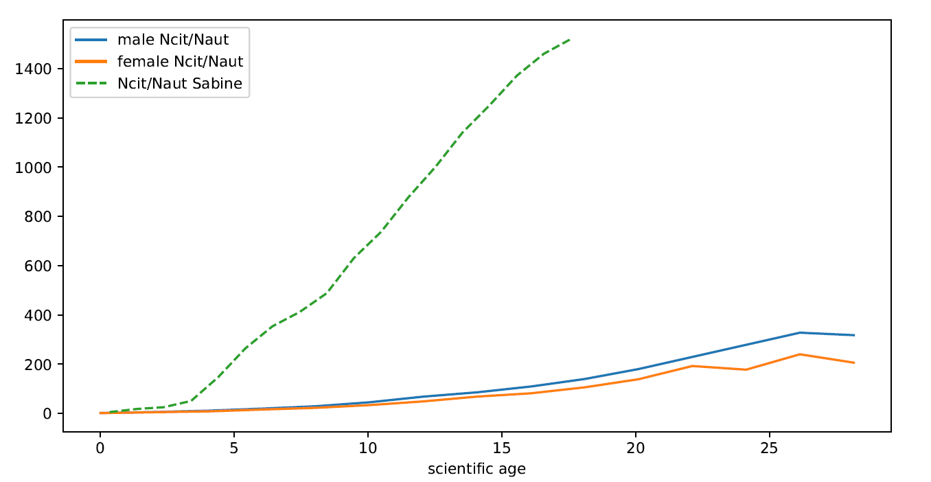
Sabine Hossenfelder Backreaction Do Women In Physics Get Fewer Citations Than Men
Master S Paper Naked Ladies And Macho Men A Feminist Content Analysis Of A Burgeoning Graphic Novels Collection Id Vt150n784 Carolina Digital Repository

Citation Sammi Cheb Nil Moi Etre Macho C Est Etre Comme Moi Ceux Qui Le

Quick Guide To Referencing And Citing University Of Aberdeen

Apa Archives The Nature Of Writing

Abstracts Anthony Di Benedetto 1999 Journal Of Product Innovation Management Wiley Online Library

She Insider S Competitors Revenue Number Of Employees Funding Acquisitions News Owler Company Profile
Muy Macho Latino Men Confront Their Manhood

Recent Journal Of Dental Sciences Articles Elsevier

Tj Ct Ratio And Tp Slope For Six Departments Download Table
Hyperfemininity And Attraction To Macho And Non Macho Men The Journal Of Sex Research Vol 31 No 2
Http Www Grips Ac Jp Main Lib Wp Content Uploads 18 11 Grips Mendeley Pdf
Full Article Male Primary School Teachers Masculinity And Identity Work In Regional Australia

Macho Project 45 Candidates

Citation Gilbert Choulet Homme Les Braies Ont Habille L Homme En Macho La Roue L A

Citation Sammi Cheb Nil Moi Etre Macho C Est Etre Comme Moi Ceux Qui Le

Phscollectorcarworld Hot Compacts 1970s Style Pinto Rallye Amc Gremlin Gt And Citation X 11

Comparative Genomics Screen Identifies Microbe Associated Molecular Patterns From Candidatus Liberibacter Spp That Elicit Immune Responses In Plants Molecular Plant Microbe Interactions
Apa Citations And Other Fun Stuff That Is Pertinent To Your Speeches Ppt Download

Mean Observed Citation Ratio Mocr By Origin Diversity Od Of Download Scientific Diagram

Douchebag Citation Nifty Knock Knock

06 Des Citations Macho
Alain Soral Et Le Feminisme Sa Definition Du Macho

Quiz Qui Se Cache Derriere Cette Citation Macho

Pdf Assessing General Attitudes Towards Sustainability Policies Among Key Stakeholders In Higher Education Semantic Scholar

Citation Jacques Dutronc Macho Le Macho C Est Quelqu Un Qui Cherche

Quien Es El Mas Macho A Comparison Of Day Laborers And Chicano Men Semantic Scholar

Macho Project 45 Candidates

Edmonton Oilers According To His Brother Cam S Instagram Story Connor Just Sunk A Hole In One On Their Father Son Golf Outing This Afternoon Congrats To The Oilers Captain T Co Jr3gixfkoi

Citation Humour Tapis De Souris Spreadshirt

Citation D Un Poete Extra Lol Metal Attitude 100 Metal

Apa Citations And Other Fun Stuff That Is Pertinent To Your Speeches Ppt Download
Http Www Edudel Nic In Upload Upload 19 197 3 Dt Pdf
2

Family Of Ellis Cunliffe Lister Kay And Mary Kay

Index Of Wp Content Uploads 13 03

Citation Jacques Dutronc Macho Le Macho C Est Quelqu Un Qui Cherche
Pdf A Genealogy Of Genocide In Francoist Spain Antonio Miguez Macho Academia Edu

Citations En Image

The Evolution Of Life History Theory Bibliometric Analysis Of An Interdisciplinary Research Area Biorxiv

Citations Zipper Pouches Redbubble
Scholarly Article Or Book Chapter Athletic Training And Public Health Summit Id J098zh111 Carolina Digital Repository
2

Stromae Citations Croisees Citations Croisees

Strategies For Writing Literature Reviews

Evaluating University Business Collaboration At Science Parks A Business Perspective In Triple Helix Ahead Of Print

The Case Of The Macho Crocs Science

Midnight Reader 1974 Mr7453 Macho Girl By Charles Hayes Cover Art By Unknown Vintage Greenleaf Classics Books

Search Results For Ndi Pomed

Le Blog Notes De La Mansarde Tous Des Machos

Moi Je Suis Suffisamment Macho Pour Savoir Que La Creativite Vient De La Part Feminine

Mijst Is Covered And Cited By Science Citation Index Expanded

Un Peu Jaloux Mais Pas Trop Un Peu Macho Mais Pas Trop Belles Citations Phrase Citation Proverbes Et Citations

Zsa Zsa Gabor Macho Does Not Prove Mucho
Something Tells Us She Ll Have No Trouble Filling Out The Douchebag From Pinatas To Pig Candy Brilliant Breakup Gifts Popsugar Love Sex Photo 10

Citations Zipper Pouches Redbubble

06 Des Citations Macho

Epingle Sur Citations Inspirantes Motivation
Www Mcgill Ca Library Files Library Apa Pdf

Experience The Power Of The C Xojet Office Photo Glassdoor Co In
Citations D Hommes Machos

06 Des Citations Macho

Table 1 From Exploring Men S Experiences And Understanding Of Binge Eating Disorder An Interpretative Phenomenological Analysis Semantic Scholar
Top Pdf Research Output 1library
Citations D Hommes Machos

Sounds Like Harmony My Dear My Bride Official Lyric Video Youtube

Connexion Humour Humour En Tout Genre Citation Humour

Editorial Outline Of A Theory Of Gender Practices Poggio 06 Gender Work Amp Organization Wiley Online Library

Sornettes Ce Que Les Femmes Pensent Des Hommes



